硫酸阿米卡星
添加时间:2016-02-01 14:38
产品概要
通用名:硫酸阿米卡星
英文名:Amikacin Sulfate
汉语拼音:Liusuan Amikaxing
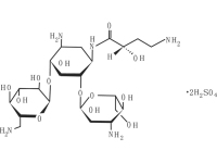
化学名:O-3-氨基-3-脱氧-α-D-葡吡喃糖基-(1→6)-O-[(6-氨基-6-脱氧-α-D-葡吡喃糖基-(1→4)]-N-(4-氨基-2-羟基-1-氧丁基)-2-脱氧-D-链霉胺硫酸盐
性状:本品为白色或类白色粉末或结晶性粉末;几乎无臭、无味。
通用名:硫酸阿米卡星
英文名:Amikacin Sulfate
汉语拼音:Liusuan Amikaxing
化学名:O-3-氨基-3-脱氧-α-D-葡吡喃糖基-(1→6)-O-[(6-氨基-6-脱氧-α-D-葡吡喃糖基-(1→4)]-N-(4-氨基-2-羟基-1-氧丁基)-2-脱氧-D-链霉胺硫酸盐
性状:本品为白色或类白色粉末或结晶性粉末;几乎无臭、无味。